体育彩票

学术进展

当前位置: 主页 >> 学术进展 >> 正文

体育彩票 袁国赞教授课题组在国际权威期刊发表光催化二氧化碳还原的最新研究成果

日期:2024-01-19  来源:   点击:

近日,体育彩票 袁国赞课题组国际权威期刊Journal of the American Chemical Society》上发表光催化二氧化碳还原(CO2RR)的最新研究成果。《Journal of the American Chemical Society》由美国化学会(ACS)出版社出版,是化学研究领域最具影响力的顶级国际学术期刊之一这是我校首次以第一单位Journal of the American Chemical Society上发表论文,体育彩票 博士研究生刘冬东为第一作者,工程研究院教师于伟彬、体育彩票 袁国赞教授西北大学韩英锋教授为共同通讯作者。研究工作得到了国家自然科学基金、皖江学者特聘教授项目、安徽省高校协同创新项目基金支持。

(分子催化剂Pc-Co超分子催化剂Pc-Co@1催化CO2光还原性能对比示意图

由金属中心和有机配体组成的分子催化剂,在过去的几十年中一直是化学和材料科学中最前沿的发展方向之一。由于分子催化剂金属活性位点和分子配体的高度可设计性,因此它们的催化活性具有可调控性然而,一些疏水性分子催化剂(例如酞菁和卟啉有机催化剂),其在溶液中倾向于聚集,往往导致催化剂失活。从原理上讲,以下几种策略可以解决这个关键问题首先,利用分子催化剂构建高度结晶的多孔材料,可以锚定活性位点(策略I),例如金属-有机框架(MOFs)和共价有机框架(COFs),极大地防止了活性位点的聚集,与其分子催化剂前驱体对比,自组装多孔框架的催化剂因其超高表面积、限域的孔道和可调结构而往往显示出较高的催化效率。然而,由于其它们固有的特性可能会妨碍底物和中间体在纳米孔道中的传质。其次,由分子催化剂构建的离散超分子多孔有机或配位分子策略(策略II),这种策略可以有效克服策略I中存在的传质问题,这些金属笼超分子催化剂表现出优异的类酶活性,可用于化学转化,然而,用于构建这些纳米笼的配体多为芳香疏水结构不可避免地触发分子间的聚集,因此这些分子催化剂中对环境敏感的催化位点,在超分子催化过程中仍然不能完全被隔离,进而导致催化活性的损失

隔离分子催化剂聚集三种合成策略

金属笼1和超分子催化剂Pc-M@1的合成路线

受到自然界酶的启发,通过合理设计超分子笼,使其充当包裹目标分子催化剂的容器,可以彻底的防止分子催化剂失活(策略III)。在主-客体加合物中,分子催化活性位点可以完全被隔离在配位笼的纳米空腔,进而阻止其自身的聚集根据以上策略III我们利用一种新的超分子共组装策略合成出一种四柱形金属笼包裹金属酞菁(Pc-Co)的超分子催化剂Pc-Co@1,其可以有效地隔离分子催化Pc-Co活性位点。Pc-Co@1催化剂表现出很高的光催化CO2性能,其催化TONCO值及选择性SelCO分别417592%远远高于非限域分子催化剂Pc-Co的催化性能(TONCO = 500, SelCO = 54%通过系列控制实验、瞬态荧光/吸收光谱、原位光谱等技术,系统研究了光催化CO2还原动力学、催化过程中电子转移动力学、催化机理等,研究结果表明Pc-Co@1明显增强的光催化性能可能源于其金属笼对分子催化剂的限域效应和更高的电子传输效应

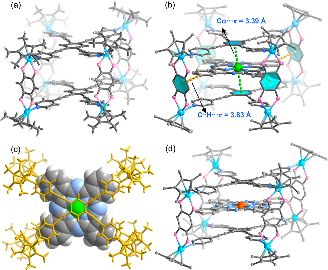
不同视角下的超分子催化剂Pc-Co@1Pc-Zn@1的晶体结构

本研究提出了一种金属-有机笼封装分子催化剂的共组装策略,共组装得到的超分子光催化剂可以完全阻止分子催化剂在溶液中的自身聚集,进而提升光催化CO2还原活性和选择性系统研究表明:增强性光催化CO2还原性能归因于孤立的单钴活性位点和金属笼的协同作用,增了光电子的转移,从而促进了CO2的吸附活化转化。这项工作为构建高活性、选择性和稳定的CO2还原光催化剂体系提供了新思路

论文链接://pubs.acs.org/doi/10.1021/jacs.3c14254

(撰稿:马莉莉 审核:韩新亚)