体育彩票

学术进展

当前位置: 主页 >> 学术进展 >> 正文

体育彩票 袁春晨资格教授在国际权威期刊发表无导向苯胺碳氢键官能化研究系列论文

日期:2025-03-31  来源:   点击:

近日,我校体育彩票 袁春晨资格教授在国际权威期刊《Organic Letters》(中科院一区Top期刊,自然指数期刊)上发表无导向苯胺碳氢键官能化研究系列论文。我校为论文第一单位,体育彩票 袁春晨资格教授为论文第一作者。《Organic Letters》由美国化学会出版,是有机化学领域的顶刊之一,具有重要的国际影响力。理论计算方面工作得到石河子大学徐亮教授支持。

(图1无导向芳基叔胺邻位烯基化与烯丙基化反应)

苯胺类衍生物的选择性碳氢键官能化反应研究一直是有机合成反应中的重要研究工作。过去,导向基团促进的苯胺邻位碳氢键官能化反应研究已经发展成熟,对于难以引入导向基团的芳基叔胺类衍生物,其邻位碳氢键选择性官能化反应缺乏有效的合成策略。袁春晨小组发展了分子间作用力诱导芳基叔胺衍生物邻位碳氢键选择性活化的策略,实现了芳基叔胺衍生物邻位碳氢键的烯基化和烯丙基化工作。机理研究及理论计算表明,氨基酸类配体与苯胺底物之间的分子间相互作用力底物N α-H与配位酰胺羰基O原子距离为2.49 Å)在实现选择性活化邻位碳氢键的过程中起到了关键作用。

(图2芳基仲胺选择性合成吲哚与苯并呋喃衍生物)

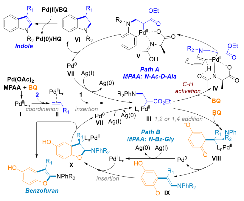
对于芳基仲胺类底物,苯胺与烯烃的反应过程中,钯催化剂会发生烯烃插入得到迁移插入中间体,机理实验表明,苯醌添加剂可以抑制插入中间体发生β-H消除。插入中间体在氨基酸配体的辅助作用下发生邻位碳氢键活化最终生成吲哚类化合物。同时,调控氨基酸类配体结构可以抑制邻位C-H活化的发生,插入中间体与苯醌反应生成苯并呋喃类化合物。

(图3芳基仲胺选择性合成吲哚与苯并呋喃衍生物催化循环)

该系列研究工作得到国家自然科学基金青年项目、体育彩票 博士启动经费、体育彩票 校级青年基金项目、江苏省有机合成重点实验室开放课题项目支持。(撰稿:袁春晨;审核:韩新亚,黄宇弦)

论文链接:

//pubs.acs.org/doi/10.1021/acs.orglett.4c01315

//pubs.acs.org/doi/10.1021/acs.orglett.4c03173

//pubs.acs.org/doi/10.1021/acs.orglett.5c00584